Nieuwe CPU-prijzen AMD en Intel

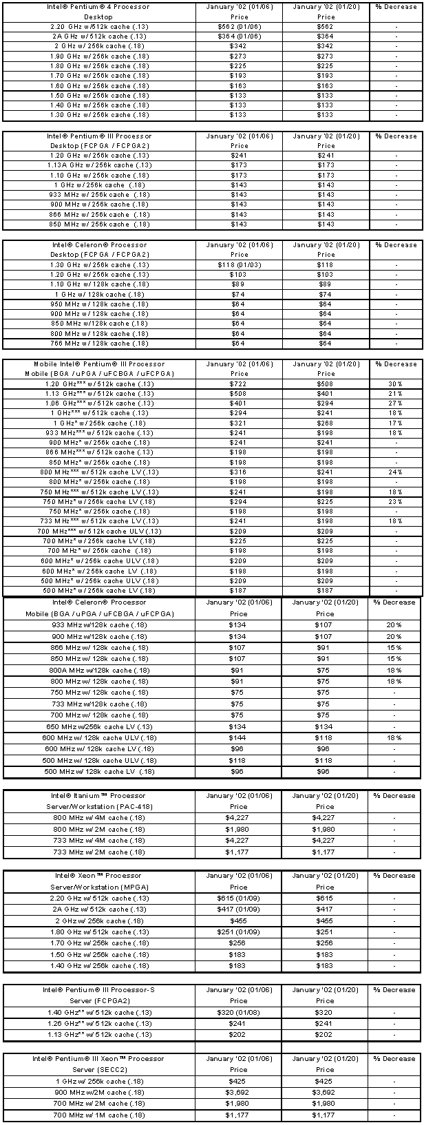
Zowel Intel als AMD hebben recentelijk de nieuwe prijslijsten van hun CPU's vrijgegeven, welke de redactie voor uw gemak hier onder elkaar geplaatst heeft. De prijzen zijn uiteraard in US dollar, gelden voor de US, en bij afname van minimaal 1000 stuks.



« Vorig bericht Volgend bericht »
0