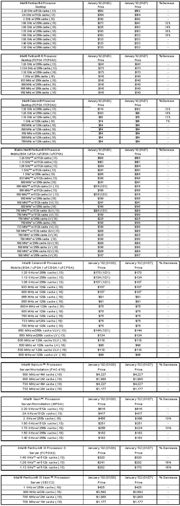
Intel heeft twee dagen geleden de complete lijst van processorprijzen uitgebracht, met daarop slechts minimale wijzigingen. Een dag later volgde AMD. Ter vergelijking kunt u hier de vorige prijslijsten vinden.
Hardware Info is gestopt. Deze site wordt niet meer voorzien van updates en je kijkt nu naar een archief. Alle accounts zijn verwijderd.
Intel heeft twee dagen geleden de complete lijst van processorprijzen uitgebracht, met daarop slechts minimale wijzigingen. Een dag later volgde AMD. Ter vergelijking kunt u hier de vorige prijslijsten vinden.